随着电动汽车、光伏储能等高压高频应用场景的爆发,SiC MOSFET凭借其高开关速度、低导通损耗和优异的高温性能,正迅速取代传统硅基器件。然而,在高频硬开关场景下,一个长期被低估的问题逐渐浮出水面——体二极管反向恢复过程中的剧烈震荡。这种震荡不仅是EMI噪声的主要来源,更可能直接导致:
l 器件过压失效:震荡尖峰电压叠加母线电压,可能超过器件额定耐压,引发雪崩击穿。
l 误开通风险:漏极电压震荡通过Cgd耦合至栅极,造成桥臂直通短路。
l 可靠性退化:持续的震荡带来额外的开关损耗和热应力,加速器件老化。
本文将深入剖析SiC MOSFET体二极管反向恢复震荡的产生机理,量化分析关键影响因素,并给出经过仿真与实测验证的有效抑制方案,为工程师提供从理论到实践的完整解决方案。
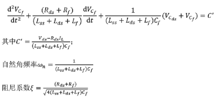
要理解震荡,首先要拆解其发生的物理场景。在换流过程中,当上管(续流管)的体二极管从续流状态切换到反向阻断时,会经历一个复杂的“反向恢复”过程。此时,电路中的寄生参数(电感、电容)与器件的非线性电容共同构成了一个高阶谐振网络。图一清晰地展示了在反向恢复电流阶段,功率回路的等效电路模型:
图一:等效电路模型

功率回路电压方程可化简为标准的二阶系统形式:

核心结论: 震荡的根源在于由功率回路寄生电感(Lss,Lds,Lf) 和续流二极管结电容(Cf) 构成的LC谐振回路。在典型的SiC应用中,回路电阻很小,系统处于欠阻尼状态(ξ<1),能量在电感和电容间反复交换,形成衰减缓慢的正弦振荡。
通过大量的仿真与双脉冲测试实测,我们系统性地研究了各电路与器件参数对震荡特性的影响。
1. 母线电压VCC对震荡的影响
l 影响规律: VCC升高,电流震荡显著加剧,Vpeak上升,电压震荡的相对尖峰值(ΔV)变化不明显。对比波形如图二。
图二:VCC对震荡的影响

l 数据佐证:仿真波形中,母线电压从700V升至1000V,电流振幅加剧;震荡尖峰ΔV均维持在800V左右,振荡持续时间也基本不变。

2. 负载电流ID对震荡的影响
l 影响规律:负载电流越大,反向恢复过程中需要抽取的少数载流子电荷(Qrr)越多,导致反向恢复电流峰值(Irm) 和初始电流变化率(di/dt) 增大。对比波形如图三。
图三:ID对震荡的影响

l 数据佐证:当负载电流从90A增加至110A(母线电压700V),Irm上升,电压震荡差异不大。
l 机理解释:更大的Id意味着存储在体二极管漂移区中更多的电荷,在反向恢复时被快速抽出,Qrr上升,Irm增大。
3. 栅极电阻Rg对震荡的影响
l 影响规律:Rg对震荡有双重影响。减小Rg会加快开关速度,增大di/dt和du/dt,从而加剧震荡;但另一方面,Rg本身也是栅回路阻尼的一部分。对比波形如图四。
图四:Rg对震荡的影响

l 数据佐证:仿真显示,在相同条件下,Rg(5、10、20R)对比波形,续流管电压振幅和振频增长明显。
l 设计启示:Rg是工程师最常用且最直接的调节手段。增大Rg是抑制震荡的有效方法,但需与开关损耗进行权衡,因为增大Rg也会延长开关时间,增加导通损耗。
理解了“病因”和“病状”,我们就可以开出“药方”。抑制震荡的核心思路是:1)减少激励源(降低初始di/dt);2)增加系统阻尼;3)改变谐振网络结构。
改善方向一:针对寄生电容——器件级优化
优化体二极管寄生电容Cf,减小Cf是有效的优化方向。而Cf主要来自体二极管反偏时,空间电荷区的结电容,因此优化结电容就是我们的第一优化方向。可以通过减小P型体区底部浓度来实现改优化方向。
改善方向二:调整栅极电阻——驱动级优化
在开关损耗允许的范围内,选用更大的Rg。这不仅能降低di/dt,还能增加栅回路的等效阻尼。但需注意边界, Rg过大会显著增加开关损耗和延迟,需通过热仿真和效率测试确定最优值。
改善方向三:压制寄生电感——系统级优化
功率回路寄生电感Ls是震荡能量的“存储池”和振荡频率的决定因素之一。采用紧密对称的功率回路布局,特别是半桥的上下管、直流母线电容和连接端子的位置。另外,在续流管DS两端或半桥中点与母线间增加RC缓冲电路,是抑制震荡最直接有效的方法之一。
| 上一篇:功率模块为何必须经过无功老化".. | 下一篇:IGBT短路耐受性设计(二)——芯片短.. |
安徽省合肥市高新区长宁大道789号5号楼

